Free Access

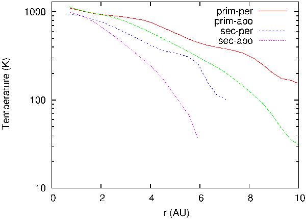
Fig. 6

thumbnail

Azimuthally and vertically averaged temperature profiles of both disks in the HIDECL model when the stars are at pericenter and apocenter, respectively. The secondary disk is less dense than around the primary, so its temperature is on average lower.

Current usage metrics show cumulative count of Article Views (full-text article views including HTML views, PDF and ePub downloads, according to the available data) and Abstracts Views on Vision4Press platform.

Data correspond to usage on the plateform after 2015. The current usage metrics is available 48-96 hours after online publication and is updated daily on week days.

Initial download of the metrics may take a while.