Open Access

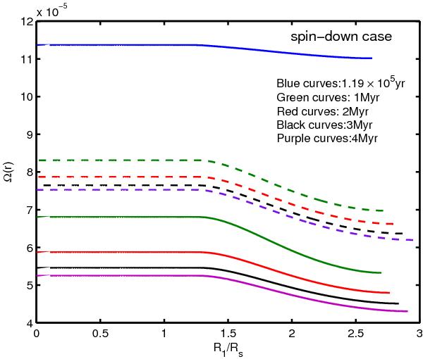
Fig. 2

thumbnail

Variation of the angular velocity as a function of the radius in solar units. The continuous lines refer to the spin-down case with an orbital period equal to 1.8 days. The dashed curves correspond to the spin-down case with an orbital period equal to 1.1 days. Different ages are plotted with different colors as indicated in the inset, for both the continuous and dashed lines. The curve corresponding to an age of 119 000 years is the same for the model in the system with an orbital period P of 1.1 days and in the one with an orbital period of 1.8 days.

Current usage metrics show cumulative count of Article Views (full-text article views including HTML views, PDF and ePub downloads, according to the available data) and Abstracts Views on Vision4Press platform.

Data correspond to usage on the plateform after 2015. The current usage metrics is available 48-96 hours after online publication and is updated daily on week days.

Initial download of the metrics may take a while.