Open Access

Fig. 9

thumbnail

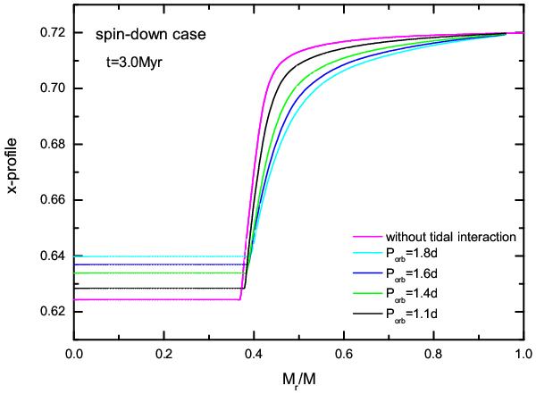
Variation as a function of the Lagrangian mass coordinate of the mass fraction of hydrogen in 15 M models with (spin-down case) and without tidal interaction at the same age during the main-sequence phase. Curves for different initial orbital periods are shown.

Current usage metrics show cumulative count of Article Views (full-text article views including HTML views, PDF and ePub downloads, according to the available data) and Abstracts Views on Vision4Press platform.

Data correspond to usage on the plateform after 2015. The current usage metrics is available 48-96 hours after online publication and is updated daily on week days.

Initial download of the metrics may take a while.