Free Access

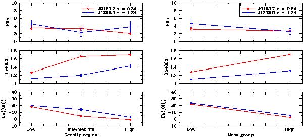
Fig. 9

thumbnail

Spectral index values for passive and star-forming galaxies combined as a function of environmental density and stellar mass for J0152.7 (red) and J1252.9 (blue). Trends are generally similar with both density and stellar mass for both clusters, although in Dn4000 the changes are greatest between low and intermediate density in J0152.7 and greatest between intermediate and high density in J1252.9.

Current usage metrics show cumulative count of Article Views (full-text article views including HTML views, PDF and ePub downloads, according to the available data) and Abstracts Views on Vision4Press platform.

Data correspond to usage on the plateform after 2015. The current usage metrics is available 48-96 hours after online publication and is updated daily on week days.

Initial download of the metrics may take a while.