Free Access

Fig. 10

thumbnail

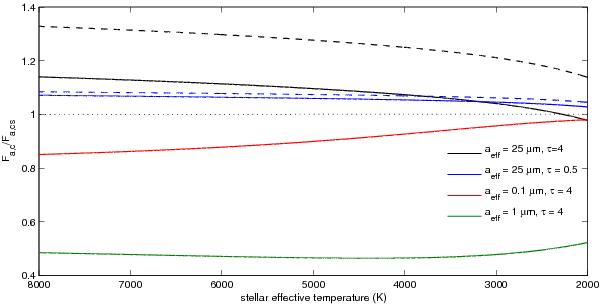
Ratios Fa,c/Fa,cs as a function of the stellar effective temperature. Results are shown for different values of the optical depth τ and effective radii of the gamma size distributions. Black line: aeff = 25  μm = 4, blue line: aeff = 25  μm = 0.5, red line: aeff = 0.1  μm = 4, green line: aeff = 1  μm = 4. Calculations using DISORT are denoted by solid lines, two-stream methods are marked by dashed lines.

Current usage metrics show cumulative count of Article Views (full-text article views including HTML views, PDF and ePub downloads, according to the available data) and Abstracts Views on Vision4Press platform.

Data correspond to usage on the plateform after 2015. The current usage metrics is available 48-96 hours after online publication and is updated daily on week days.

Initial download of the metrics may take a while.