Free Access

Fig. 5

thumbnail

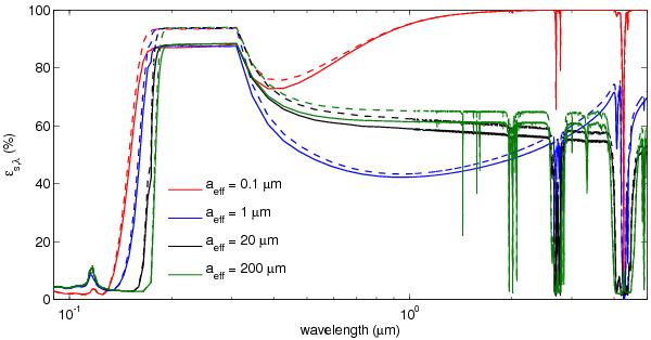
Calculated fraction of the incident stellar radiation in downward direction at the cloud base (ϵs) for τ = 4. Results are shown for four different size distributions: aeff = 0.1  μm (red line), aeff = 1  μm (blue line), aeff = 20.0  μm (black line), and aeff = 200  μm (green line). Calculations using DISORT (two-stream methods) are denoted by solid lines (dashed lines).

Current usage metrics show cumulative count of Article Views (full-text article views including HTML views, PDF and ePub downloads, according to the available data) and Abstracts Views on Vision4Press platform.

Data correspond to usage on the plateform after 2015. The current usage metrics is available 48-96 hours after online publication and is updated daily on week days.

Initial download of the metrics may take a while.