Free Access

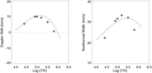
Fig. 9

thumbnail

Two-component model results. The diamonds represent the Doppler shift and non-thermal line width derived from the single-Gaussian fit to the artificial profiles shown in Fig. 8. The red solid lines, adopted from Figs. 4 and 5, show our observational results of the temperature dependence of the line parameters in QS network.

Current usage metrics show cumulative count of Article Views (full-text article views including HTML views, PDF and ePub downloads, according to the available data) and Abstracts Views on Vision4Press platform.

Data correspond to usage on the plateform after 2015. The current usage metrics is available 48-96 hours after online publication and is updated daily on week days.

Initial download of the metrics may take a while.