Free Access

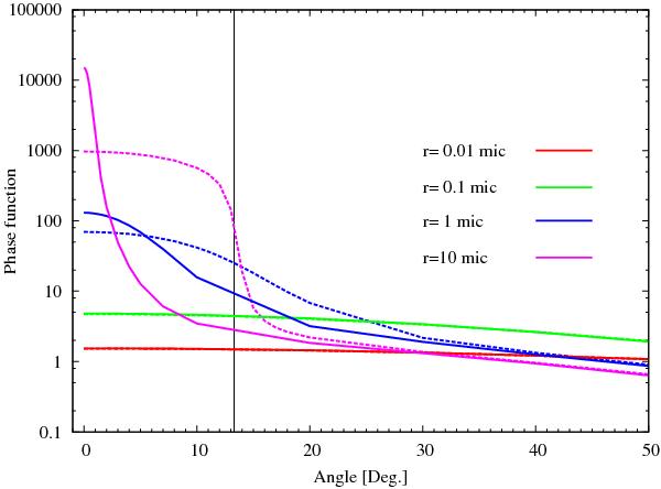
Fig. 7

thumbnail

Phase functions at 650 nm for different dust particle radii. Full line – phase functions assuming a point source of light. Dashed line – phase functions that take into account the finite dimension of the stellar disk. The vertical line illustrates the angular dimension of the stellar disk as seen from the planet.

Current usage metrics show cumulative count of Article Views (full-text article views including HTML views, PDF and ePub downloads, according to the available data) and Abstracts Views on Vision4Press platform.

Data correspond to usage on the plateform after 2015. The current usage metrics is available 48-96 hours after online publication and is updated daily on week days.

Initial download of the metrics may take a while.