Free Access

Fig. 2

thumbnail

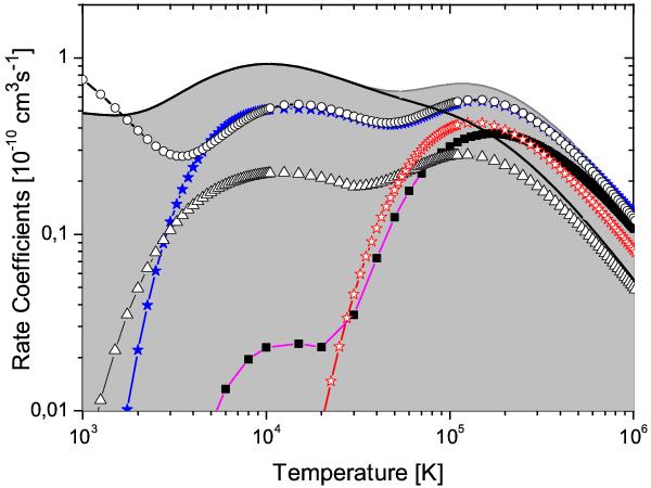
Plasma recombination rate coefficients for Be-like F as a function of electron temperatures. The black solid line and grey shaded area represent the experimentally derived ncutoff and field-ionization-free total (DR+TR) recombination rate coefficients, respectively. The open circles show field-ionization-free DR+TR rate coefficients from AUTOSTRUCTURE calculations. The calculated results from the literature are shown by the following symbols: open stars – Dittner et al. (1987); filled stars – Colgan et al. (2003); filled squares – Mazzotta et al. (1998); and open triangles – Badnell et al. (1991)

Current usage metrics show cumulative count of Article Views (full-text article views including HTML views, PDF and ePub downloads, according to the available data) and Abstracts Views on Vision4Press platform.

Data correspond to usage on the plateform after 2015. The current usage metrics is available 48-96 hours after online publication and is updated daily on week days.

Initial download of the metrics may take a while.