Free Access

Fig. 6

thumbnail

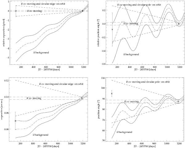
PMDs of CHXR 32 from the relative and absolute astrometric measurements for separation (left) and position angle (right). The upper panels refer to the centre of mass of the pair B/C (adopting that the mass of B is 1.5 times that of C), relative to the main component A. The separation PMD rejects here the background hypothesis. The lower panels are PMDs of C relative to B, assuming that the proper motion of B is identical to that of A. Here the background hypothesis is excluded by the position angle PMD.

This figure is made of several images, please see below:

Current usage metrics show cumulative count of Article Views (full-text article views including HTML views, PDF and ePub downloads, according to the available data) and Abstracts Views on Vision4Press platform.

Data correspond to usage on the plateform after 2015. The current usage metrics is available 48-96 hours after online publication and is updated daily on week days.

Initial download of the metrics may take a while.