Free Access

This article has an erratum: [https://doi.org/10.1051/0004-6361/201220779e]


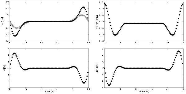
Fig. 2

thumbnail

Most important properties for the two fitted functions: Gaussian as open circles (only two upper panels, partially superposed) and Bi-Gaussian as filled circles, as a function of orbital phase (with an arbitrary zero-point) for the case of an equatorial spot with a a filling factor of 1% on an edge-on star with v sini of 7 km s-1. Upper left: center of the two fitted functions as a function of orbital phase; Upper right: FWHM of the two functions; on the two lower panels, we have the asymmetry A (bottom left) and the ΔV indicator (bottom right) for the Bi-Gaussian fitting.

Current usage metrics show cumulative count of Article Views (full-text article views including HTML views, PDF and ePub downloads, according to the available data) and Abstracts Views on Vision4Press platform.

Data correspond to usage on the plateform after 2015. The current usage metrics is available 48-96 hours after online publication and is updated daily on week days.

Initial download of the metrics may take a while.