Free Access

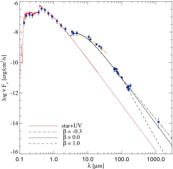
Fig. 3

thumbnail

Modified blackbody fits to the 51 Oph SED. The error bars on the photometric points are 3σ. The orange line is the Spitzer-IRS spectrum taken from the NASA archive. The best fit with β = − 0.3 is unphysical.

Current usage metrics show cumulative count of Article Views (full-text article views including HTML views, PDF and ePub downloads, according to the available data) and Abstracts Views on Vision4Press platform.

Data correspond to usage on the plateform after 2015. The current usage metrics is available 48-96 hours after online publication and is updated daily on week days.

Initial download of the metrics may take a while.