Free Access

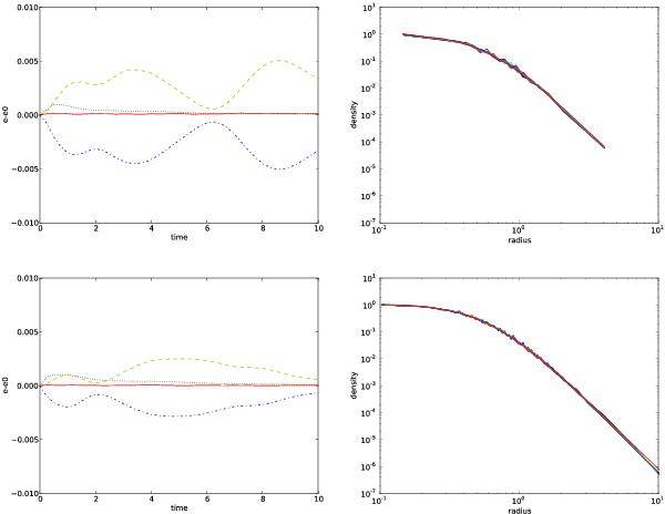
Fig. 16

thumbnail

Stable gas plummer sphere test for Bridge. The test consists of evolving a gas Plummer sphere for 10 N-body times where the hydro forces and self gravity are split over two instances of Fi using Bridge. Left panels show the deviation of the potential (yellow dashed), kinetic (green dotted), thermal (blue dash-dotted) and total energy (red drawn) as a function of time (initial energy values are –0.5, 0, 0.25 and –0.25 respectively). Right panels show the gas density profiles at 10 equally spaced times. Upper panels show results for N = 104 particles, while lower panels are for N = 105.

Current usage metrics show cumulative count of Article Views (full-text article views including HTML views, PDF and ePub downloads, according to the available data) and Abstracts Views on Vision4Press platform.

Data correspond to usage on the plateform after 2015. The current usage metrics is available 48-96 hours after online publication and is updated daily on week days.

Initial download of the metrics may take a while.