Free Access

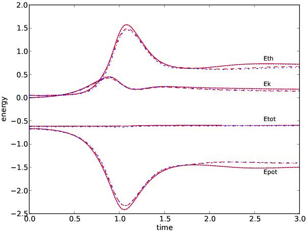
Fig. 17

thumbnail

Energy plot of the Evrard collapse test. Plotted are the kinetic, potential, thermal and total energy as a function of time for runs with Gadget (red dashed: N = 104, red drawn: N = 105), and for Gadget hydro bridged with Octgrav gravity (blue dash-dotted: N = 104, Blue dotted: N = 105).

Current usage metrics show cumulative count of Article Views (full-text article views including HTML views, PDF and ePub downloads, according to the available data) and Abstracts Views on Vision4Press platform.

Data correspond to usage on the plateform after 2015. The current usage metrics is available 48-96 hours after online publication and is updated daily on week days.

Initial download of the metrics may take a while.