Free Access

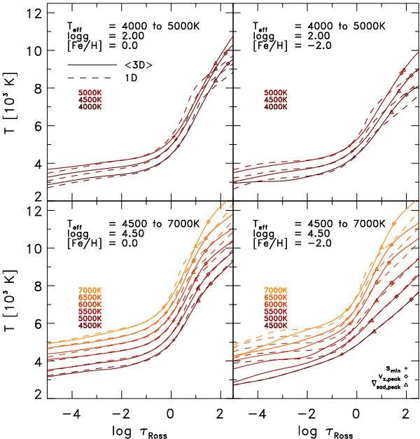
Fig. 13

thumbnail

⟨3D⟩ stratifications of the temperature vs. optical depth for various stellar parameters (solid lines) and 1D models with αMLT = 1.5 (dashed lines). Furthermore, we have marked the positions of entropy minimum (plus), vertical peak velocity (diamond), and maximum in ∇sad = ∇ − ∇ad (triangle).

Current usage metrics show cumulative count of Article Views (full-text article views including HTML views, PDF and ePub downloads, according to the available data) and Abstracts Views on Vision4Press platform.

Data correspond to usage on the plateform after 2015. The current usage metrics is available 48-96 hours after online publication and is updated daily on week days.

Initial download of the metrics may take a while.