Free Access

Fig. 18

thumbnail

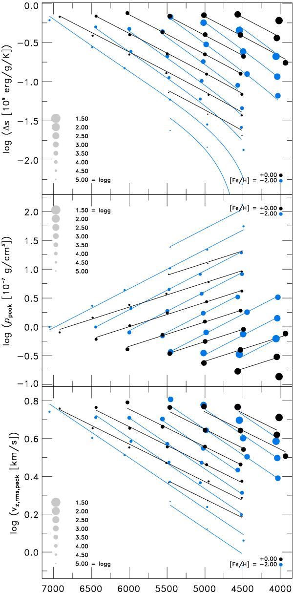
Overview of the entropy jump (top panel), maximal vertical rms-velocity below the surface (middle panel) and the density at the same height ρpeak (bottom panel) vs. Teff for [Fe/H] =  −2.0 and 0.0 (blue and black respectively). Models with the same gravity are connected with their respective functional fits (solid lines; see Appendix B). Note the inverse correlation between density and velocity.

Current usage metrics show cumulative count of Article Views (full-text article views including HTML views, PDF and ePub downloads, according to the available data) and Abstracts Views on Vision4Press platform.

Data correspond to usage on the plateform after 2015. The current usage metrics is available 48-96 hours after online publication and is updated daily on week days.

Initial download of the metrics may take a while.