Free Access

Fig. 19

thumbnail

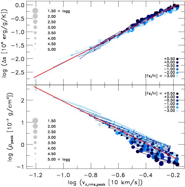
Comparison of the entropy jump Δs (top panel) and the density at the optical depth of the maximal vertical velocity below the optical surface ρpeak (bottom panel) vs. maximal vertical rms-velocity for all models. A linear fit is also indicated in both panels (red lines).

Current usage metrics show cumulative count of Article Views (full-text article views including HTML views, PDF and ePub downloads, according to the available data) and Abstracts Views on Vision4Press platform.

Data correspond to usage on the plateform after 2015. The current usage metrics is available 48-96 hours after online publication and is updated daily on week days.

Initial download of the metrics may take a while.