Free Access

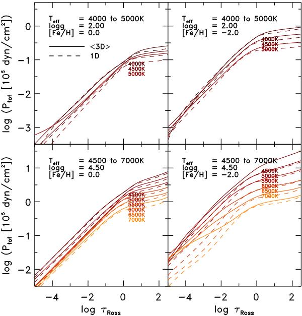
Fig. 22

thumbnail

⟨3D⟩ total pressure ptot against the optical depth log τRoss for various stellar parameters (solid lines). For comparison we also plot the 1D models with dashed lines. Note the different ordinate scale in the top panel.

Current usage metrics show cumulative count of Article Views (full-text article views including HTML views, PDF and ePub downloads, according to the available data) and Abstracts Views on Vision4Press platform.

Data correspond to usage on the plateform after 2015. The current usage metrics is available 48-96 hours after online publication and is updated daily on week days.

Initial download of the metrics may take a while.