Free Access

Fig. 7

thumbnail

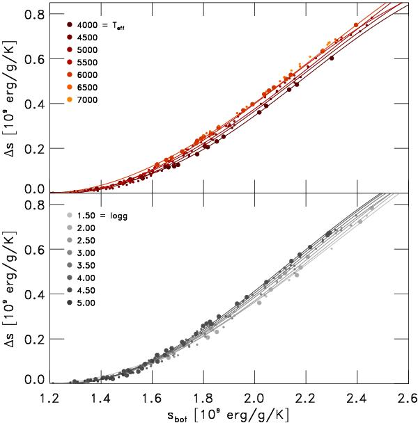
Comparison of the entropy jump Δs against the constant entropy value of the adiabatic convection zone sbot for all grid models (filled circles; color-coding explained in the legend). Furthermore, we show also hyperbolic tangent functional fits (see Eq. (B.4) and Appendix B) between Teff = 4000 and 6000  K (red lines; top panel) and between log g = 1.5 and 4.5 (grey lines; bottom panel).

Current usage metrics show cumulative count of Article Views (full-text article views including HTML views, PDF and ePub downloads, according to the available data) and Abstracts Views on Vision4Press platform.

Data correspond to usage on the plateform after 2015. The current usage metrics is available 48-96 hours after online publication and is updated daily on week days.

Initial download of the metrics may take a while.