Free Access

Fig. 15

thumbnail

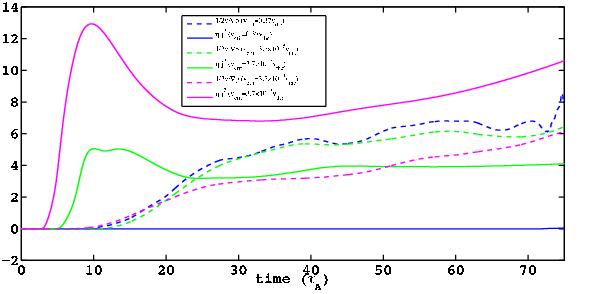
Temporal evolution of the source terms ( and ηj2) within the corona above the transition region for three values of the critical current carrier velocity C = 1/2.7 (blue lines), 1/270 (green lines), and 1/2700 (red lines).

Current usage metrics show cumulative count of Article Views (full-text article views including HTML views, PDF and ePub downloads, according to the available data) and Abstracts Views on Vision4Press platform.

Data correspond to usage on the plateform after 2015. The current usage metrics is available 48-96 hours after online publication and is updated daily on week days.

Initial download of the metrics may take a while.