Free Access

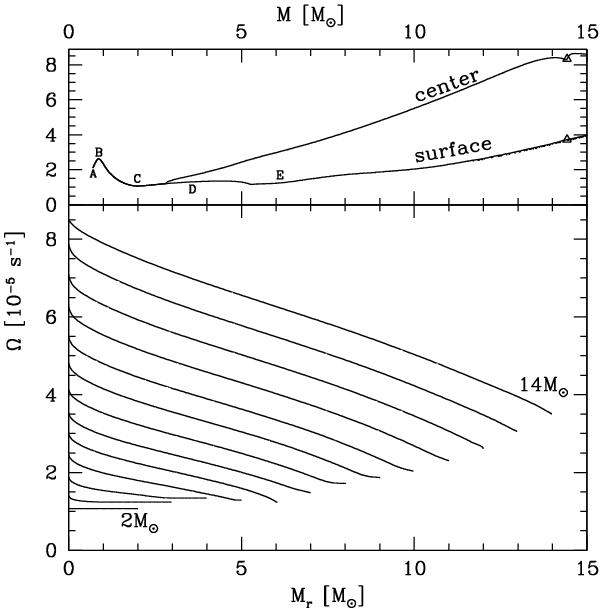
Fig. 4

thumbnail

Angular velocity on the birthline with Ωini = 2.1 × 10-5 s-1 (value needed to obtain vZAMS/vcrit = 0.40 for the 14 M). Upper panel: angular velocity at the surface and in the centre of the star, along the birthline as a function of the total mass. Letters indicate the evolutionary stages described in the text (Sect. 3.1), and triangles indicate the appearance of the convective core. Lower panel: rotation profiles on the birthline at different masses from 2 M to 14 M, by steps of 1 M.

Current usage metrics show cumulative count of Article Views (full-text article views including HTML views, PDF and ePub downloads, according to the available data) and Abstracts Views on Vision4Press platform.

Data correspond to usage on the plateform after 2015. The current usage metrics is available 48-96 hours after online publication and is updated daily on week days.

Initial download of the metrics may take a while.