Free Access

Fig. B.1

thumbnail

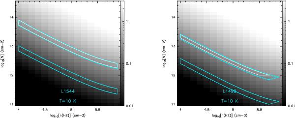
LVG predictions at T = 10 K towards L1544 (left) and L1498 (right). In each panel, the grey scale shows the predicted intensity of the 110024.590 MHz component of the C15N(1–0) hyperfine multiplet. The boxes (full line) delineate the solutions for the C15N (cyan) and the 13CN lines (white). The dashed box shows the C15N solutions when the C15N column density is multiplied by factors of 7.5 and 7 for L1544 and L1498 respectively.

This figure is made of several images, please see below:

Current usage metrics show cumulative count of Article Views (full-text article views including HTML views, PDF and ePub downloads, according to the available data) and Abstracts Views on Vision4Press platform.

Data correspond to usage on the plateform after 2015. The current usage metrics is available 48-96 hours after online publication and is updated daily on week days.

Initial download of the metrics may take a while.