Free Access

Fig. 12

thumbnail

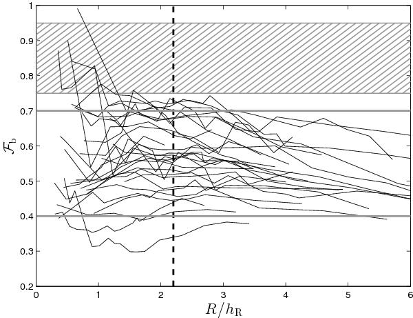
Baryonic mass fraction of all galaxies except UGC 8196 as a function of radius. As in Fig. 13, the shaded area shows 0.75 ≤ ℱb ≤ 0.95, the vertical dashed line R = 2.2hR, and we exclude measurements within R = Rbulge. The two thick gray horizontal lines indicate the range ℱb = 0.4–0.7.

Current usage metrics show cumulative count of Article Views (full-text article views including HTML views, PDF and ePub downloads, according to the available data) and Abstracts Views on Vision4Press platform.

Data correspond to usage on the plateform after 2015. The current usage metrics is available 48-96 hours after online publication and is updated daily on week days.

Initial download of the metrics may take a while.