Free Access

Fig. 15

thumbnail

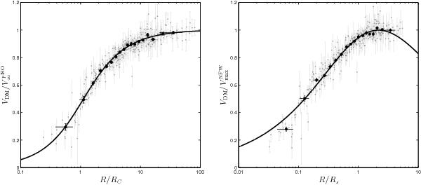
All measured dark-matter rotation velocities plotted together and compared to the fitted models. Left panel: comparison to the pISO model. R and VDM have been normalized with RC and , respectively. Right panel: comparison to the NFW-halo model. Here, R and VDM have been normalized with Rs and , respectively. Gray points with light gray errorbars indicate individual VDM measurements. The black filled circles show averages in radial bins containing 20 measurements each.

Current usage metrics show cumulative count of Article Views (full-text article views including HTML views, PDF and ePub downloads, according to the available data) and Abstracts Views on Vision4Press platform.

Data correspond to usage on the plateform after 2015. The current usage metrics is available 48-96 hours after online publication and is updated daily on week days.

Initial download of the metrics may take a while.