Free Access

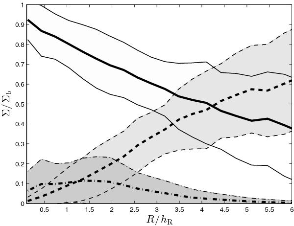
Fig. 3

thumbnail

Relative fraction of stellar, atomic-gas, and molecular-gas mass surface densities as a function of radius. The solid thick and thin lines show the average Σb and 1σ scatter, respectively. The dashed thick and thin lines (enclosing the light gray area) and the dashed-dotted thick and thin lines (enclosing the dark gray area) show the average Σatomb and Σmolb, respectively, again with the thin lines indicating 1σ scatter.

Current usage metrics show cumulative count of Article Views (full-text article views including HTML views, PDF and ePub downloads, according to the available data) and Abstracts Views on Vision4Press platform.

Data correspond to usage on the plateform after 2015. The current usage metrics is available 48-96 hours after online publication and is updated daily on week days.

Initial download of the metrics may take a while.