Free Access

Fig. 3

thumbnail

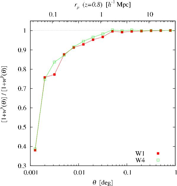
Completeness fraction of angular galaxy pairs due to the slit-spectroscopy strategy in the W1 and W4 fields for all galaxies at 0.5 < z < 1.0. This has been obtained from the parent and spectroscopic sample angular correlation function.

Current usage metrics show cumulative count of Article Views (full-text article views including HTML views, PDF and ePub downloads, according to the available data) and Abstracts Views on Vision4Press platform.

Data correspond to usage on the plateform after 2015. The current usage metrics is available 48-96 hours after online publication and is updated daily on week days.

Initial download of the metrics may take a while.