Free Access

Fig. 7

thumbnail

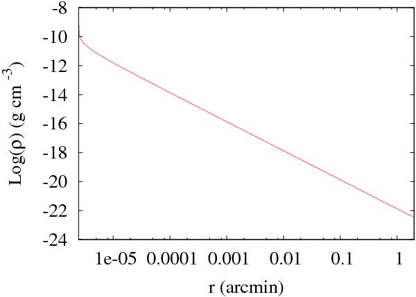
Density profile of the matter expelled by the hotspot and surrounding the system. The x-axis represents the angular extent for a system located at 100 pc. The profile starts at the stellar radius of the gainer (R = 2.2 × 1011 cm) and is cut at 2 arcmin. The density drops below the mean density of the ISM value at 12 arcmin (1.05 × 1018 cm) from the star.

Current usage metrics show cumulative count of Article Views (full-text article views including HTML views, PDF and ePub downloads, according to the available data) and Abstracts Views on Vision4Press platform.

Data correspond to usage on the plateform after 2015. The current usage metrics is available 48-96 hours after online publication and is updated daily on week days.

Initial download of the metrics may take a while.