Free Access

Fig. 5

thumbnail

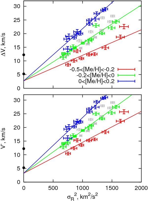
The asymmetric drift for the RAVE dwarfs separated into three metallicity bins: −0.5 <  [M/H]  < −0.2, −0.2 <  [M/H]  < 0, and 0 <  [M/H]  < 0.2. The two black circles on the y-axis correspond to the LSR from Aumer & Binney (2009) and from Schönrich et al. (2010). The full lines show the best joint linear fit. Top: using Eq. (4). Bottom: using Eq. (5). The RAVE data without metallicity split of Fig. 4 are replotted with grey points.

Current usage metrics show cumulative count of Article Views (full-text article views including HTML views, PDF and ePub downloads, according to the available data) and Abstracts Views on Vision4Press platform.

Data correspond to usage on the plateform after 2015. The current usage metrics is available 48-96 hours after online publication and is updated daily on week days.

Initial download of the metrics may take a while.