Free Access

This article has an erratum: [https://doi.org/10.1051/0004-6361/201321596e]


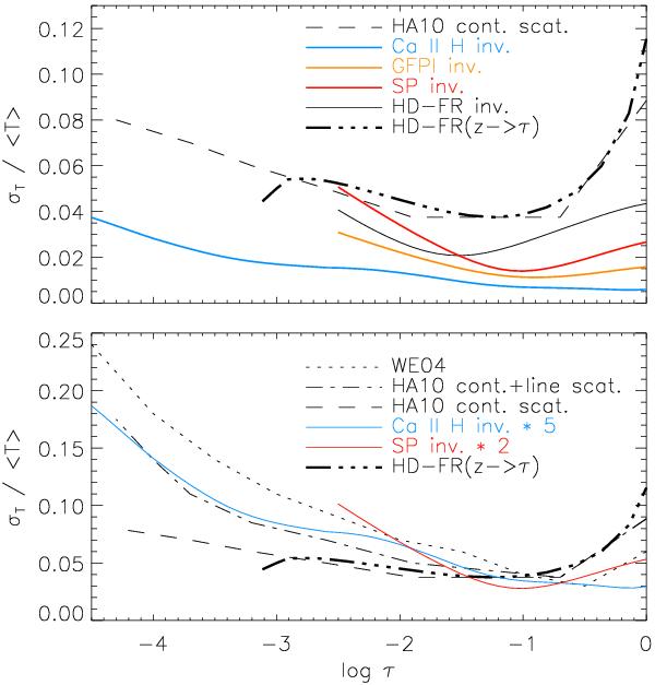
Fig. 15

thumbnail

Relative temperature fluctuations vs. optical depth. Top panel: inversion results of SP (red line), GFPI (orange line) and Ca ii H data (blue line), and of the HD-FR simulation spectra (black-solid line). Overplotted are the relative temperature fluctuations in the HD-FR simulation box (black dashed-triple-dotted line) and the curve given in Hayek et al. (2010, HA10) for a simulation with continuum scattering (black-dashed line). Bottom panel: inversion results of SP/Ca ii H multiplied by two/five (red/blue lines), and the values from the simulations of Wedemeyer et al. (2004, WE04; black-dotted line), of HA10 with continuum scattering (black-dashed line) and of HA10 with continuum and line scattering (black-dash-dotted line).

Current usage metrics show cumulative count of Article Views (full-text article views including HTML views, PDF and ePub downloads, according to the available data) and Abstracts Views on Vision4Press platform.

Data correspond to usage on the plateform after 2015. The current usage metrics is available 48-96 hours after online publication and is updated daily on week days.

Initial download of the metrics may take a while.