Free Access

This article has an erratum: [https://doi.org/10.1051/0004-6361/201321602e]


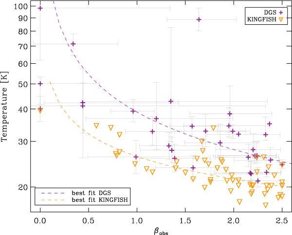
Fig. 15

thumbnail

Temperature versus βobs from the modified blackbody fits for the DGS (purple crosses) and for KINGFISH galaxies (orange downward triangles). The dotted lines correspond to the best power law fit for the DGS (purple) and KINGFISH (orange) galaxies, excluding the galaxies for which βobs = 0.0. They correspond to: log (TDGS) = (1.59 ± 0.01) + (−0.48 ± 0.04) × log (βobs,DGS), and log (TKINGFISH) = (1.41 ± 0.02) + (−0.29 ± 0.05) × log (βobs,KINGFISH). For clarity the error bars on the parameters have been displayed only for the DGS sample.

Current usage metrics show cumulative count of Article Views (full-text article views including HTML views, PDF and ePub downloads, according to the available data) and Abstracts Views on Vision4Press platform.

Data correspond to usage on the plateform after 2015. The current usage metrics is available 48-96 hours after online publication and is updated daily on week days.

Initial download of the metrics may take a while.