Free Access

This article has an erratum: [https://doi.org/10.1051/0004-6361/201321602e]


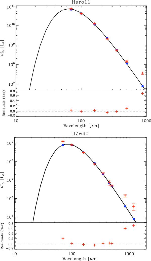
Fig. 19

thumbnail

SEDs of Haro 11 (Top) and II Zw 40 (bottom). They have been obtained with a modified blackbody model with a fixed βtheo = 2.0. The 870 μm point for Haro 11 is from LABOCA (Galametz et al. 2009). For II Zw 40, the 450 and 850 μm points are from SCUBA, and the 1.2 mm point is from MAMBO (Galliano et al. 2005). All submm points have been corrected for non-dust contamination (free-free and synchrotron radiations and CO line contamination). The filled blue circles are the modelled fluxes in each band. The red crosses are the observations. The total SEDs are displayed in black. The bottom panel of each plot indicates the residuals from the fit.

This figure is made of several images, please see below:

Current usage metrics show cumulative count of Article Views (full-text article views including HTML views, PDF and ePub downloads, according to the available data) and Abstracts Views on Vision4Press platform.

Data correspond to usage on the plateform after 2015. The current usage metrics is available 48-96 hours after online publication and is updated daily on week days.

Initial download of the metrics may take a while.