Free Access

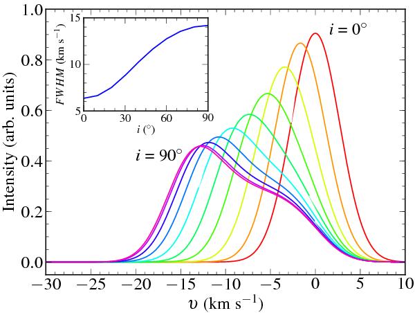
Fig. 9

thumbnail

Toy model of line profiles originating in an expanding half annulus as a function of inclination to the observer. An inclination of 0° corresponds to the annulus expanding into the plane of the sky (IRAS 4B) and 90° corresponds to expansion along the line of sight (IRAS 2A). The incremental inclination is 10°. The inset shows the measured FWHM of the different profiles as a function of inclination, i.e., not obtained from a Gauss fit. The annulus expands at 15 km s-1 and the internal velocity dispersion (FWHM) is 9 km s-1.

Current usage metrics show cumulative count of Article Views (full-text article views including HTML views, PDF and ePub downloads, according to the available data) and Abstracts Views on Vision4Press platform.

Data correspond to usage on the plateform after 2015. The current usage metrics is available 48-96 hours after online publication and is updated daily on week days.

Initial download of the metrics may take a while.