Free Access

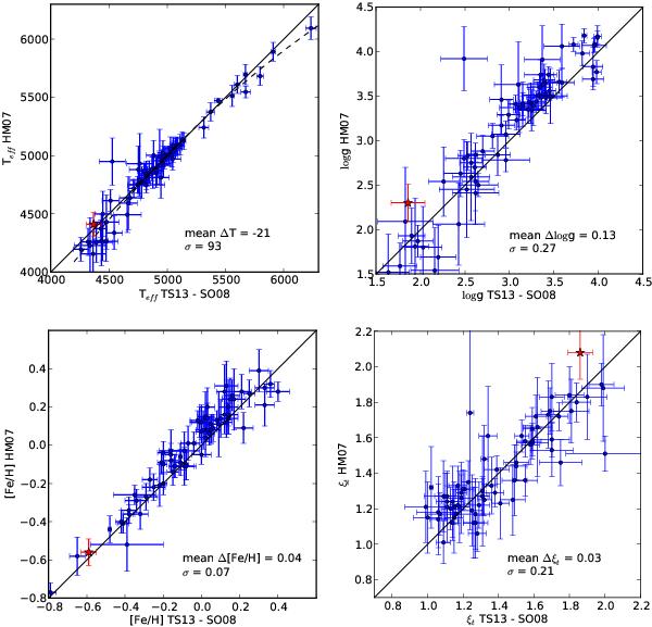
Fig. 1

thumbnail

Comparisons of the spectroscopic results from the TS13–SO08 line list versus the HM07 line list for effective temperature, surface gravity, metallicity, and microturbulence. The measurements for the reference star Arcturus are overplotted with a star symbol. The dashed line in the top-left panel represents a second degree polynomial fit.

This figure is made of several images, please see below:

Current usage metrics show cumulative count of Article Views (full-text article views including HTML views, PDF and ePub downloads, according to the available data) and Abstracts Views on Vision4Press platform.

Data correspond to usage on the plateform after 2015. The current usage metrics is available 48-96 hours after online publication and is updated daily on week days.

Initial download of the metrics may take a while.