Free Access

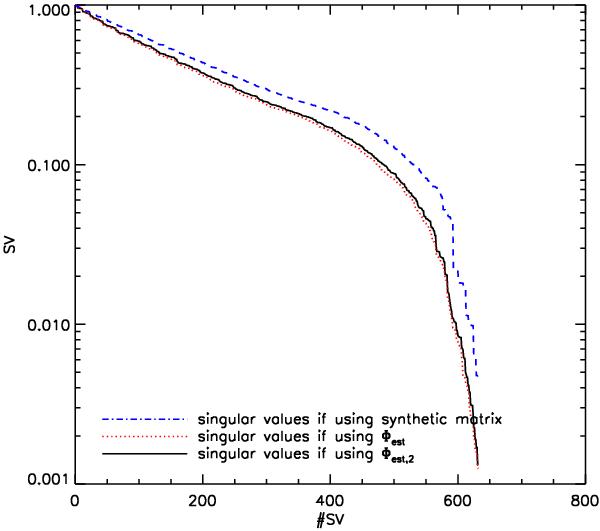
Fig. 8

thumbnail

Singular values, normalized to their respective maximum, issued from the inversion of the interaction matrices D, obtained using the two estimators Φest (red, dotted) and Φest,2 (black, solid) and the synthetic matrix (blue, dashed) for γ = 40.

Current usage metrics show cumulative count of Article Views (full-text article views including HTML views, PDF and ePub downloads, according to the available data) and Abstracts Views on Vision4Press platform.

Data correspond to usage on the plateform after 2015. The current usage metrics is available 48-96 hours after online publication and is updated daily on week days.

Initial download of the metrics may take a while.