Free Access

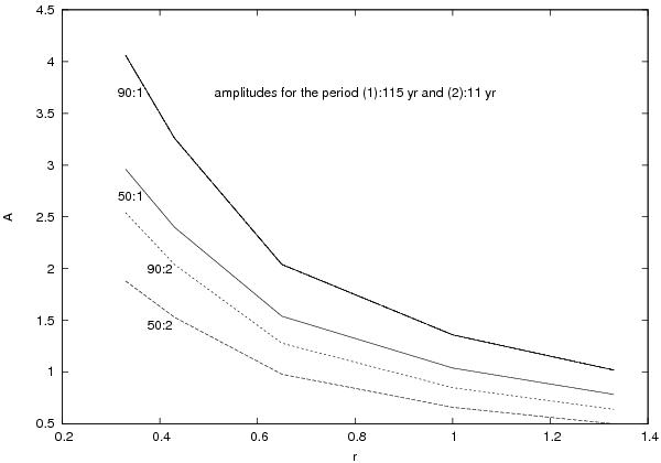
Fig. 2

thumbnail

Amplitudes A1 and A2 (in degrees) of the two periodic components of the inclination variation as a function of the distance from the center r in units of 10 Schwarzschild radii of the primary. The first number in the label gives the initial inclination in degrees, the second number the subscript of the amplitude coefficient.

Current usage metrics show cumulative count of Article Views (full-text article views including HTML views, PDF and ePub downloads, according to the available data) and Abstracts Views on Vision4Press platform.

Data correspond to usage on the plateform after 2015. The current usage metrics is available 48-96 hours after online publication and is updated daily on week days.

Initial download of the metrics may take a while.