Free Access

Fig. 17

thumbnail

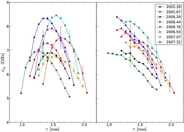
Evolution of the turnover frequency, νm, for region D (1 mas < r < 4 mas) along the jet axis, where we used a beam size of 1.33 × 0.52 mas with a PA of −9°. For reasons of readability only one error bar per epoch is shown. Left: values along the jet ridge line. Right: average values transversal to the jet ridge line.

Current usage metrics show cumulative count of Article Views (full-text article views including HTML views, PDF and ePub downloads, according to the available data) and Abstracts Views on Vision4Press platform.

Data correspond to usage on the plateform after 2015. The current usage metrics is available 48-96 hours after online publication and is updated daily on week days.

Initial download of the metrics may take a while.