Free Access

Fig. B.11

thumbnail

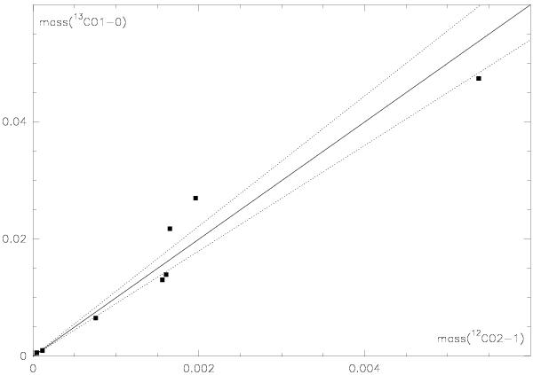
Relation between the mass values (M) derived respectively from 13CO J = 1−0 and 12CO J = 2−1 30 m telescope data for the objects in which both determinations can be performed (Sect. 5). Results from 13CO J = 1−0 are expected to be the most accurate ones and those from 12CO J = 2−1 are underestimates. The continuous line represents a factor of ten between both estimates, and the other lines represent deviations of a 10% from this ratio.

Current usage metrics show cumulative count of Article Views (full-text article views including HTML views, PDF and ePub downloads, according to the available data) and Abstracts Views on Vision4Press platform.

Data correspond to usage on the plateform after 2015. The current usage metrics is available 48-96 hours after online publication and is updated daily on week days.

Initial download of the metrics may take a while.