Free Access

Fig. 5

thumbnail

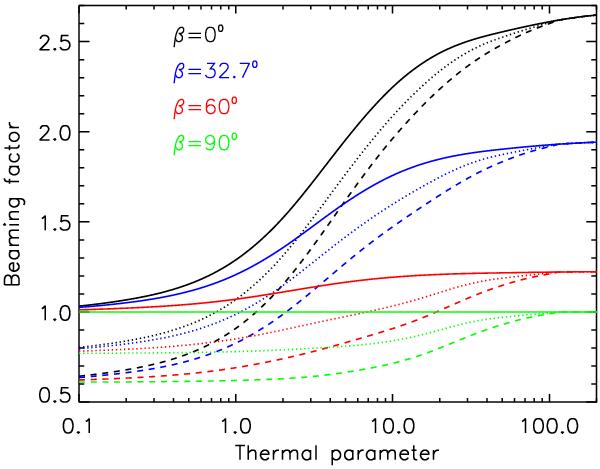
Model beaming factor η as a function of thermal parameter Θ for four values of the subsolar/subearth latitude β and three surface roughness levels: Solid line: no roughness. Dotted line: moderate roughness. Dashed line: high roughness. The instantaneous subsolar temperature T0 is 50 K.

Current usage metrics show cumulative count of Article Views (full-text article views including HTML views, PDF and ePub downloads, according to the available data) and Abstracts Views on Vision4Press platform.

Data correspond to usage on the plateform after 2015. The current usage metrics is available 48-96 hours after online publication and is updated daily on week days.

Initial download of the metrics may take a while.