Free Access

Fig. 25

thumbnail

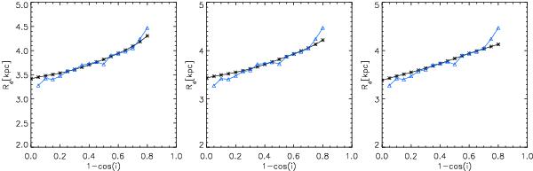
Left: average inclination dependence of disk sizes for a sample of galaxies selected from Simard et al. (2011) (blue curve). Overplotted in black are the predictions of our model for a disk population, scaled to the averaged disk size derived from the data, at 1 − cos(i) = 0.6, which corresponds to an intrinsic value of 3.05 kpc. Middle: the same, but with the projection effects corrproj not included in the chain of corrections. Right: the same, but with decomposition effects corrB/D not included in the chain of corrections.

Current usage metrics show cumulative count of Article Views (full-text article views including HTML views, PDF and ePub downloads, according to the available data) and Abstracts Views on Vision4Press platform.

Data correspond to usage on the plateform after 2015. The current usage metrics is available 48-96 hours after online publication and is updated daily on week days.

Initial download of the metrics may take a while.