Free Access

Fig. C.4

thumbnail

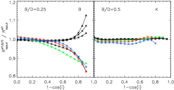
Dust effects (corrB/D-corrproj,   B/D) on the derived efective radius of decomposed disks, for B/D = 0.5. The solid lines are polynomial fits to the measurements. The plots represent the ratio between the apparent effective radius of decomposed and single disks, and , respectively, as a function of inclination (1 − cos(i)), for the B and K optical bands. Two variable Sérsic index functions were used for image decomposition. The black curves are plotted for , while the other curves correspond to (green), 4.0 (red) and 8.0 (blue).

Current usage metrics show cumulative count of Article Views (full-text article views including HTML views, PDF and ePub downloads, according to the available data) and Abstracts Views on Vision4Press platform.

Data correspond to usage on the plateform after 2015. The current usage metrics is available 48-96 hours after online publication and is updated daily on week days.

Initial download of the metrics may take a while.