Free Access

Fig. 8

thumbnail

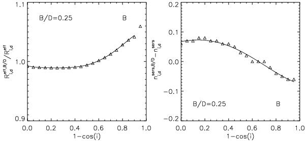
Left: projection effects corrproj,   B/D on the derived effective radius of decomposed disks for B/D = 0.25. The symbols represent the measurements while the solid lines are polynomial fits to the measurements. The plots represent the ratio between the intrinsic effective radius of decomposed and single disks, and , respectively, as a function of inclination (1 − cos(i)), for the B-band. Two variable index Sérsic functions were used for image decomposition. Right: as in the left panel, but for the derived Sérsic index, nsers. The effects are represented as differences between the measured Sérsic index of decomposed and single disks, and , respectively.

Current usage metrics show cumulative count of Article Views (full-text article views including HTML views, PDF and ePub downloads, according to the available data) and Abstracts Views on Vision4Press platform.

Data correspond to usage on the plateform after 2015. The current usage metrics is available 48-96 hours after online publication and is updated daily on week days.

Initial download of the metrics may take a while.