Free Access

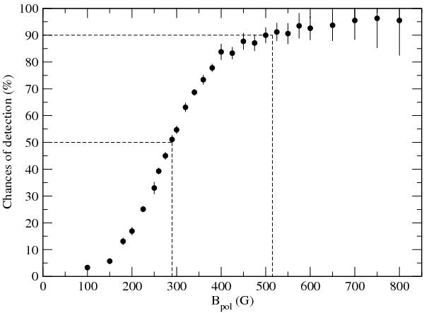
Fig. 8

thumbnail

Chances of detection of a magnetic field in at least one of the two Narval measurements of HD 46769, depending on the polar field strength, assuming Prot = 9.69 d.

Current usage metrics show cumulative count of Article Views (full-text article views including HTML views, PDF and ePub downloads, according to the available data) and Abstracts Views on Vision4Press platform.

Data correspond to usage on the plateform after 2015. The current usage metrics is available 48-96 hours after online publication and is updated daily on week days.

Initial download of the metrics may take a while.