Free Access

Fig. 4

thumbnail

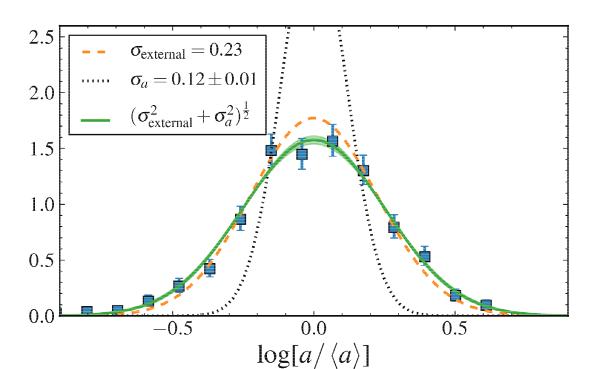
Dispersion of black hole spin as obtained from the residuals to the radio-optical correlation (Fig. 2). Here we adopt the Blandford-Znajek mechanism to change coordinates, . The lower limit on the external factors (dashed orange line) provides a reasonable description of the data. Hence the contribution due to spin or magnetic flux is constrained to a narrow range (black dotted line).

Current usage metrics show cumulative count of Article Views (full-text article views including HTML views, PDF and ePub downloads, according to the available data) and Abstracts Views on Vision4Press platform.

Data correspond to usage on the plateform after 2015. The current usage metrics is available 48-96 hours after online publication and is updated daily on week days.

Initial download of the metrics may take a while.