Free Access

Fig. 5

thumbnail

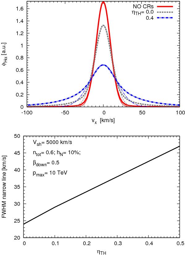
Top panel: thick lines show the profile of the narrow Balmer line for three cases: no CR acceleration (solid line) and acceleration efficiency (i.e. ϵCR = 22%) for two different values of the turbulent heating parameter, ηTH = 0 (dashed) and 0.4 (dot-dashed). For all the three cases the thin lines show the corresponding Gaussian having the same FWHM of the narrow Balmer line. Bottom panel: FWHM of the narrow Balmer line as a function of ηTH, for acceleration efficiency . For both panels the values of the other parameters are fixed as shown in the label of the bottom panel.

Current usage metrics show cumulative count of Article Views (full-text article views including HTML views, PDF and ePub downloads, according to the available data) and Abstracts Views on Vision4Press platform.

Data correspond to usage on the plateform after 2015. The current usage metrics is available 48-96 hours after online publication and is updated daily on week days.

Initial download of the metrics may take a while.