Free Access

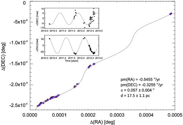
Fig. 3

thumbnail

Proper motion and parallax movement on the sky for VVV BD001. Black diamonds and purple crosses give the observed and calculated best fit coordinates. The parallax motion in RA and DEC after removing the Proper motion are shown in the inner panel, along with the best fit parallax measurement.

Current usage metrics show cumulative count of Article Views (full-text article views including HTML views, PDF and ePub downloads, according to the available data) and Abstracts Views on Vision4Press platform.

Data correspond to usage on the plateform after 2015. The current usage metrics is available 48-96 hours after online publication and is updated daily on week days.

Initial download of the metrics may take a while.