Free Access

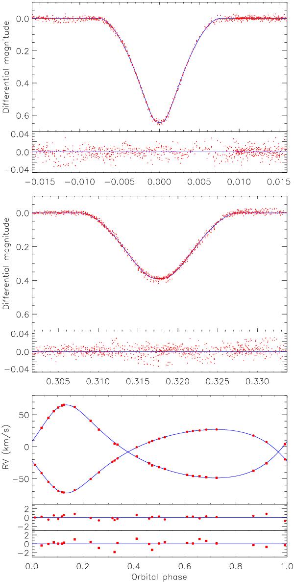
Fig. 2

thumbnail

SuperWASP light curve of the primary (top) and secondary eclipse (middle) and Griffin (2013) RVs (bottom) of LL Aqr. The datapoints are shown in red and the solid lines show the best fits found using jktebop. The residuals are shown below each fit.

Current usage metrics show cumulative count of Article Views (full-text article views including HTML views, PDF and ePub downloads, according to the available data) and Abstracts Views on Vision4Press platform.

Data correspond to usage on the plateform after 2015. The current usage metrics is available 48-96 hours after online publication and is updated daily on week days.

Initial download of the metrics may take a while.