Free Access

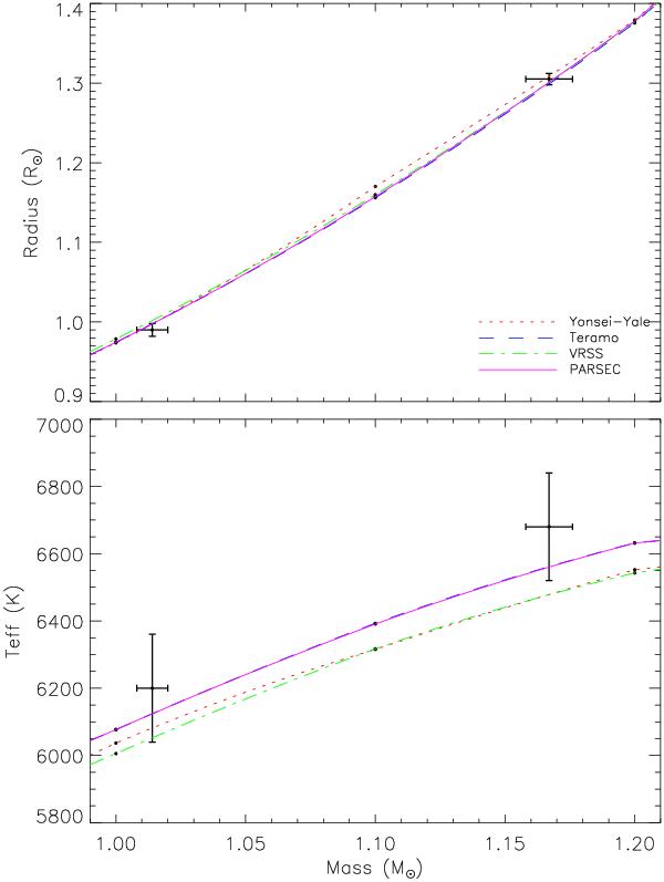
Fig. 4

thumbnail

Mass–radius and mass–Teff plots comparing the physical properties of LL Aqr (points with errorbars) with the predictions of four sets of theoretical stellar models (points without errorbars show the tabulated predictions and lines show a quadratic interpolation between these for each set of models).

Current usage metrics show cumulative count of Article Views (full-text article views including HTML views, PDF and ePub downloads, according to the available data) and Abstracts Views on Vision4Press platform.

Data correspond to usage on the plateform after 2015. The current usage metrics is available 48-96 hours after online publication and is updated daily on week days.

Initial download of the metrics may take a while.