Free Access

Fig. 2

thumbnail

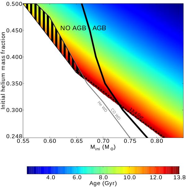
Lifetime and fate of stars versus initial mass and helium content at the metallicity of NGC 6752. The colour code gives ages at the end of central helium burning, or at the RGB tip for stars that fail to ignite helium (dashed area) using the Reimers mass loss rate with η = 0.5. The 13.4 Gyr isochrone is highlighted. The white area corresponds to lifetimes longer than the age of the Universe. The grey line separates stars that end up as helium or carbon-oxygen white dwarfs. The bold black line corresponds to the AGB ascension cutoff. It separates stars that climb the AGB (right-hand side) from the AGB-manqué ones (left).

Current usage metrics show cumulative count of Article Views (full-text article views including HTML views, PDF and ePub downloads, according to the available data) and Abstracts Views on Vision4Press platform.

Data correspond to usage on the plateform after 2015. The current usage metrics is available 48-96 hours after online publication and is updated daily on week days.

Initial download of the metrics may take a while.