Free Access

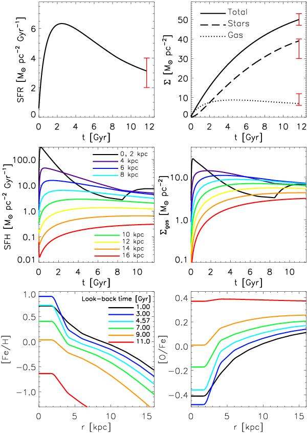
Fig. 2

thumbnail

Properties of our detailed thin-disk chemical evolution model: top row, left: SFR in the solar neighborhood resulting from our model. Top row, right: the total (solid), stellar (dashed), and gas (dotted) density time evolution in the solar neighborhood. The error bars are observational constraints (see Table B.1 for references to the data). Middle row, left: SFR as a function of time for different galactic radii as color-coded. Middle row, right: total gas density (remaining after star formation + recycled) as a function of time for different galactic radii as color-coded on the left. Bottom row, left: [Fe/H] gradients. Different curves and colors correspond to different look-back times as indicated. Bottom row, right: [O/Fe] gradients for different look-back times as on the left.

Current usage metrics show cumulative count of Article Views (full-text article views including HTML views, PDF and ePub downloads, according to the available data) and Abstracts Views on Vision4Press platform.

Data correspond to usage on the plateform after 2015. The current usage metrics is available 48-96 hours after online publication and is updated daily on week days.

Initial download of the metrics may take a while.