Free Access

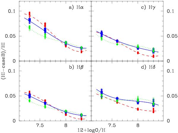
Fig. 4

thumbnail

Non-recombination contribution of Balmer hydrogen line intensities as a function of the oxygen abundance. The red dashed, blue solid, and green dotted lines show fits for starburst ages of 2.0, 3.5, and 4.0 Myr, respectively. The dependences for starburst age of 1.0 Myr are identical to those for 2.0 Myr. Symbols are CLOUDY-modelled data.

Current usage metrics show cumulative count of Article Views (full-text article views including HTML views, PDF and ePub downloads, according to the available data) and Abstracts Views on Vision4Press platform.

Data correspond to usage on the plateform after 2015. The current usage metrics is available 48-96 hours after online publication and is updated daily on week days.

Initial download of the metrics may take a while.